木曽馬展謎解きイベント
ホーム
Q&A
更新履歴
その他
メニュー
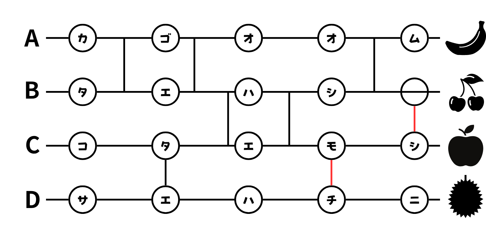
⑨のあみだくじ画像
ウェブサイトの機能性と安全性を実現するため、WebnodeはCookieを使用して、お客様にできるだけ最高の体験を提供します。
必要項目のみ承諾
すべて承諾
詳細設定
ここでCookieの設定をカスタマイズできます。以下の項目を有効または無効にして、選択内容を保存ください。
必須Cookie